Problem1631--城市交通最短路径

1631: 城市交通最短路径

Time Limit: 1 Sec  Memory Limit: 128 MB
Submit: 6  Solved: 0
[Submit] [Status] [Web Board] [Creator:]

Description

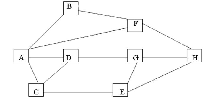
下图表示的是从城市A到城市H的交通图。从图中可以看出,从城市A到城市H要经过若干个城市。现要找出一条经过城市最少的一条路线。

Input

n行n列的只有1和0的二维表
0表示没有通过
1表示不能过

Output

从A到H的最短路径,倒叙输出,中间用“——”

Sample Input Copy

9
0 0 0 0 0 0 0 0 0
0 1 0 0 0 1 0 1 1
0 0 1 1 1 1 0 1 1
0 0 1 1 0 0 1 1 1
0 0 1 0 1 1 1 0 1
0 1 1 0 1 1 1 0 0
0 0 0 1 1 1 1 1 0
0 1 1 1 0 0 1 1 0
0 1 1 1 1 0 0 0 0

Sample Output Copy

H——F——A

Source/Category

bfs